Calcular a corrente elétrica de maneira precisa é essencial para garantir a eficiência e a segurança das instalações elétricas, especialmente em projetos industriais.
Um cálculo incorreto pode resultar em falhas nos sistemas, desperdício de energia e até riscos de acidentes.
Neste artigo, você vai aprender de forma clara e prática como aplicar os conceitos de corrente elétrica para dimensionar circuitos e equipamentos adequadamente.
Vamos explorar conceitos fundamentais, a relação com a Lei de Ohm, fórmulas essenciais e considerações importantes para diferentes tipos de circuitos e situações.
Índice
- O que é corrente elétrica e quais os tipos?
- Qual a relação da Lei de Ohm no cálculo da corrente elétrica?
- Entendendo a fórmula do cálculo
- Cálculo da corrente elétrica em diferentes tipos de circuitos.
- O que considerar para o cálculo da corrente elétrica?
- Ferramentas e dicas práticas para o cálculo eficiente
- Conclusão
O que é corrente elétrica e quais os tipos?
A corrente elétrica é o fluxo ordenado de elétrons através de um condutor, geralmente causado por uma diferença de potencial, ou tensão.
Esse fluxo é medido em amperes (A) e pode ser classificado em dois tipos principais: corrente contínua (CC) e corrente alternada (CA).
A corrente contínua mantém o fluxo de elétrons em um único sentido, comum em baterias e dispositivos eletrônicos.
Já a corrente alternada alterna o sentido do fluxo periodicamente, sendo a forma utilizada nas redes elétricas industriais e residenciais.
Cada tipo apresenta características específicas que influenciam o cálculo da corrente elétrica nos sistemas.
Qual a relação da Lei de Ohm no cálculo da corrente elétrica?
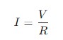
A Lei de Ohm é a base para entender e calcular a corrente elétrica. Ela estabelece que a corrente (I) em um circuito é diretamente proporcional à tensão (V) aplicada e inversamente proporcional à resistência (R) do circuito:

Essa equação simples permite calcular a corrente elétrica em diversos cenários. Ao conhecer a tensão e a resistência do sistema, você pode determinar rapidamente o valor da corrente, facilitando o dimensionamento de cabos, disjuntores e outros componentes.
Entendendo a fórmula do cálculo
A fórmula principal para o cálculo da corrente elétrica é:

Por exemplo, em um circuito com uma tensão de 220 volts e uma resistência de 50 ohms, o cálculo seria:

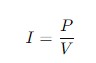
Esse resultado indica que o circuito precisa suportar uma corrente de 4,4 amperes. Em aplicações industriais, outros fatores, como potência elétrica, também entram em jogo. Nesse caso, a fórmula pode ser ajustada:

Suponha que você tenha um motor com potência de 1500 W e tensão de 220 V:

Esses exemplos ilustram a importância de entender as variáveis envolvidas no cálculo.
Cálculo da corrente elétrica em diferentes tipos de circuitos.
Antes de aplicar os cálculos, é importante identificar o tipo de circuito. Eles podem ser:
Circuitos em série
Em um circuito em série, a corrente é a mesma em todos os componentes, mas a tensão é dividida proporcionalmente à resistência de cada elemento. O cálculo total da resistência é a soma das resistências individuais:

A corrente elétrica, então, é calculada aplicando a Lei de Ohm:

Circuito paralelo
Nos circuitos paralelos, a corrente é dividida entre os caminhos disponíveis, mas a tensão permanece constante. O cálculo da resistência equivalente usa a fórmula:

Após determinar 𝑅 total, aplique a Lei de Ohm para calcular a corrente.
Circuito misto
Um circuito misto combina elementos em série e paralelo. Nesse caso, é necessário simplificar o circuito, resolvendo primeiro as partes paralelas e depois somando as resistências em série.
O que considerar para o cálculo da corrente elétrica?
Ao calcular a corrente elétrica, é fundamental levar em conta diversos fatores que influenciam os resultados:
Tensão nominal
Certifique-se de usar a tensão correta do sistema, que pode variar dependendo da rede e dos equipamentos utilizados.
Temperatura ambiente
A temperatura pode afetar a resistência dos condutores, aumentando ou diminuindo a corrente elétrica. Isso deve ser considerado no dimensionamento.
Agrupamento dos cabos
O agrupamento de cabos em conduítes ou calhas pode elevar a temperatura e alterar a capacidade de condução de corrente dos cabos.
Tipos de instalação
Circuitos internos, externos ou enterrados possuem requisitos diferentes para o cálculo de corrente elétrica.
Normas e regulamentos técnicos
Consulte normas como a NBR 5410 para instalações elétricas de baixa tensão, garantindo conformidade técnica e segurança.
Ferramentas e dicas práticas para o cálculo eficiente
Hoje, várias ferramentas facilitam o cálculo da corrente elétrica, economizando tempo e aumentando a precisão.
Principais softwares e ferramentas para facilitar os cálculos elétricos
Softwares como AutoCAD Electrical, ETAP e DIALux oferecem recursos para cálculos de corrente, simulação de circuitos e dimensionamento.
Boas práticas para revisão e validação de cálculos antes da implementação
- Verifique todas as variáveis (tensão, potência e resistência) antes de finalizar os cálculos.
- Realize simulações para prever o comportamento do circuito.
- Consulte um especialista ou engenheiro elétrico para validação dos resultados.

Conclusão
O cálculo da corrente elétrica é um passo essencial para projetos elétricos industriais seguros e eficientes.
Compreender os conceitos básicos, aplicar as fórmulas corretamente e considerar fatores como temperatura e agrupamento de cabos garantem resultados confiáveis.
Utilize ferramentas modernas e siga normas técnicas para otimizar seu trabalho e evitar erros.
Com essas práticas, você estará preparado para dimensionar seus sistemas com confiança e segurança.
Agora que você já sabe como calcular a corrente elétrica, visite nosso blog e nossas redes sociais para outras notícias!

